Notice
Recent Posts
Recent Comments
Link
| 일 | 월 | 화 | 수 | 목 | 금 | 토 |
|---|---|---|---|---|---|---|
| 1 | ||||||
| 2 | 3 | 4 | 5 | 6 | 7 | 8 |
| 9 | 10 | 11 | 12 | 13 | 14 | 15 |
| 16 | 17 | 18 | 19 | 20 | 21 | 22 |
| 23 | 24 | 25 | 26 | 27 | 28 | 29 |
| 30 |
Tags
- 항해플러스
- not a git repository
- 항해99
- 99클럽
- 99클럽 #99일지 #코딩테스트 #개발자스터디 #항해 #til
- 개발자스터디
- 코딩테스트
- 항해
- 백준
- 개발자사이드프로젝트
- MomentumParameters
- 파이썬 |
- EnvCommandError
- Til
- 파이썬 sep
- cp949
- 코딩부트캠프후기
- 주니어개발자역량강화
- print("""
- 파이썬 int()
- fatal:not a git repository
- 파이썬 클래스
- Fatal Python error: init_fs_encoding: failed to get the Python codec of the filesystem encoding
- 10430번
- 파이썬
- 파이썬 map 함수
- 주니어개발자멘토링
- vscode cp949
- print sep
- 99일지
Archives
- Today
- Total
선발대
[스파르타] 99클럽 2기 코테스터디 14일차 TIL / leet 797 본문
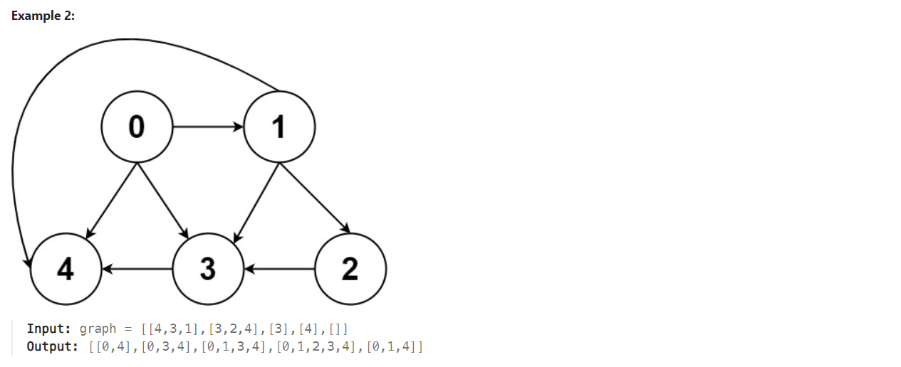
LeetCode: 797. All Paths From Source to Target (링크)



input 값이 2차원 배열로 주어져서 어떻게 해야 했는데 다른 분의 풀이를 참고해보니 path + [end] 로 매번 더할 수 있는 걸 알게 되었다. 예를 들어 path = [[0, 1], [0, 2]], end = 3 이라면 path + end = [[0, 1, 3], [0, 2, 3]] 이런 식으로 구할 수 있다. 그래서 queue에 시작점인 0을 넣어주고 for문을 돌면서 해당 인덱스와 연결된 요소들도 마지막 인덱스가 아니라면 queue에 새로 넣어준다. 이걸 while문으로 queue값이 전부 없어질 때까지 돌면 연결된 모든 경로를 구할 수 있게 된다.
class Solution:
def allPathsSourceTarget(self, graph: List[List[int]]) -> List[List[int]]:
end = len(graph) - 1
queue = deque([[0]])
ans = []
while queue:
path = queue.popleft()
for i in graph[path[-1]]:
if i == end:
ans.append(path+[end])
else:
queue.append(path+[i])
return ans

참고한 블로그: https://velog.io/@dombe/Leetcode-797
Leetcode 797
directed graph 문제.
velog.io
'스파르타코딩클럽 > 활동 내용' 카테고리의 다른 글
| [스파르타] 99클럽 2기 코테스터디 16일차 TIL / 조이스틱 (0) | 2024.06.04 |
|---|---|
| [스파르타] 99클럽 2기 코테스터디 15일차 TIL / leet 2415 (0) | 2024.06.03 |
| [스파르타] 99클럽 2기 코테스터디 13일차 TIL / leet 1302 (0) | 2024.06.01 |
| [스파르타] 99클럽 2기 코테스터디 12일차 TIL / 게임 맵 최단거리 (0) | 2024.05.31 |
| [스파르타] 99클럽 2기 코테스터디 11일차 TIL / 타겟 넘버 (0) | 2024.05.30 |
Comments